金属基-金属纤维复合材料的断裂力学
金属基-金属纤维复合材料的断裂力学
N. ARCHANGELSKA, S.T. MILEIKO
建立了金属基质-金属纤维复合材料的模型。临界应力强度系数的估算考虑了在这些条件下由于纤维断裂伸长增加而被塑料基体包围的纤维吸收能量的能力的增加。对铝基-钢纤维复合材料的实验结果验证了模型的有效性。研究了纤维-基体界面条件对复合材料断裂韧性的影响。
1、介绍

对纤维复合材料的早期研究表明,加入韧性金属基体中的强金属丝的表观塑性增强[1-3]。这一效应已在横向纤维-矩阵相互作用的项导致两个分量[4]的共同点。Gerberich[5,6]和McGuire and Harris[7]测量了金属-金属复合材料应力强度系数的临界值。然而,这些作者并没有研究在[4]中考虑的模型基础上计算复合材料断裂韧性的明显可能性。Gerberich根据Cooper和Kelly[8]假设了基体对复合材料断裂工作的贡献。

其中σm*和em*为基体材料的极限应力和应变,d为纤维直径,ve和Vm为纤维和基体的体积分数。这个表达式,严格来说是有效的只适用于非塑料纤维的复合材料,适用于延性纤维的复合材料。与此同时,Gerberich考虑到了塑料纤维的贡献。
Gerberich指出,e*f,c是复合材料中纤维断裂时的应变,与纤维的体积分数有关(见[5]的表1),他用对以前试验过的试样进行直接金相观察。这意味着Gerberich的模型不能用于设计一种特殊的复合材料断裂韧性值。这种设计的重要性源于包括Gerberich获得的实验数据,这些数据表明,通过两种金属部件的组合,可以获得低密度、非常坚韧的材料。
McGuire和Harris还研究了金属基质-金属纤维复合材料[7]的断裂。他们假设复合材料的裂纹扩展力为:

其中hf和hm分别为纤维和基体中塑性变形区域的大小。试样的hf和hm的值取决于纤维的体积分数,试样在测试时应同时测量e*f,c和e*m,c的值。目前工作的主要目的是产生一种模型复合材料,从中可以估算材料的断裂韧性,而不需要进行任何操作复合材料试件试验。我们的工作基于之前一篇论文[4]中考虑的复合模型。
2、复合材料韧性断裂模型

让我们考虑一个复合材料与金属基体和金属纤维分析[4],其中功率对构件的应力-应变曲线和在基质-纤维界面被认为是理想的。复合材料及其断裂时的应变分量e*=e*m,c=e*f,c与纤维的体积分数关系表达式如下:
其中:

最终应力(即复合材料的应力-应变曲线上的最大值)为:
设K*、Kf、Km*为某模态裂纹应力强度系数的临界值I分为复合材料、纤维材料和基体。假设这些值为材料的最终特性,并暗示他们是在最恶劣的塑性抑制条件下获得的。对应的裂纹扩展力G值为K=(CG)1/2。对于各向异性较小的材料(例如A1-Fe复合材料),这种关系可以用K=(EG)1/2代替,因为直接计算[6]表明E和G值的差很小(在这种情况下在17%以内)。
如果我们现在假设在某一特定材料中,破裂应变e*的值随a而改变是一些内在和/或外在条件变化的结果,同时也是物理的或力学性能保持不变,则G的值将与e*成比例变化。

这一假设导致复合材料的断裂功表达式如下:

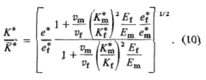
这个表达式可以用临界应力强度因子重写,其中e*的值由式4确定。

表一:
为了说明这一结果,我们可以考虑以铝合金基体和高强度钢丝作为加固的复合材料的行为的特殊例子。这些特征为Kf*=320kgfmm-3/2、Km*=45kgfmm-2/3与Kf*=300kgfmm-3/2、Km*=60kgfmm-2/3。两组临界应力强度系数相结合。这些值是典型的坚韧,高强度钢和Durale型[9]铝合金。
由式4得到临界应变e*对纤维体积分数的依赖关系,考虑的复合材料如图1所示,曲线K*(vf)绘制在图2中(粗线)。可以看出,复合材料的行为是由β的值决定的。从图中可以看出,复合材料的K*值明显高于基体和纤维的K*值。显然,关于临界应力强度系数除以材料密度还可以得到更多的信息。

图1. 复合材料在破裂时的应变与纤维体积分数
图2. 复合材料的临界应力强度系数随纤维体积分数的变化
根据式8计算后作图,图3b和图c两种类型的复合试样分别为开放点和实心点。试件厚度为1.5~3.0mm。
3、试验
在实验中,我们制备了A1-Fe复合材料并进行了测试。力学性能各分量σm=47kgfmm-2,em=0.2,of=320kgfmm-2。各种复合板材中钢丝的直径为0.2~0.3mm。纤维的体积分数为0.1~0.5。采用扩散粘接工艺,在485℃,压力2.5kgfmm-2,大于1.5h的条件下制备复合材料。
试验所用试件如图3所示。原始裂纹是由a产生的火花机和缺口尖端的半径约为0.15mm。
试验中所示的试样在获得载荷-cod曲线方面没有技术困难图3b和c。图3a所示的试样测试的原始实验信息与Gerberich[5,6]的方法相同。在裂纹尖端位置之后,监测纤维断裂发生在裂纹路径上。压电加速度计发出的与这些断裂有关的信号被放大,然后记录在一个示波器上,与此同时,一个信号从测功器被记录。
图4给出了载荷cod曲线的三种典型形状。当裂缝切断增强纤维时,得到曲线a和b。曲线上的台阶可能是局部脱粘或单个纤维断裂而没有推进裂纹尖端的结果。由于对这些步骤没有明确的解释,我们将取最大荷载作为与临界应力强度因子相对应的荷载的临界值。图4c所示的曲线是用宏观分层的试样得到的。所有测试结果见表二。

在断裂中都会出现一些困难复合材料的韧性试验及其结果的解释。首先,还不清楚是什么原因样本的大小必须是。在这种情况下,基于对塑料区(K/σy)2大小的估计的通常准则可能不合适,因为塑料区的形状和大小都取决于复合材料中纤维的体积分数。基体中塑性区的扩展也不同于纤维[7]的扩展。在硼铝试样上获得的实验数据[10,11]建议使用薄试样。为了确定试样的最小厚度,需要进一步的实验数据和各向异性非均匀材料裂纹尖端的应力分析。通过对A1-Fe复合材料的测试,得到的一些结果如图5所示。

图4. 断裂韧性试验得到的典型曲线
图5. 测试时剥落的试样的弯曲荷载,拉力加载曲线(图3b)。

目前还不清楚是否有必要通过疲劳预加载来锐化缺口尖端。当人们期望金属基质-金属纤维复合材料的K值较高时,疲劳预加载在这种情况下可能不太重要。图5中给出的数据支持了这一建议。
目前,在复合材料的断裂韧性测试方面进行的工作相对较少,因此,试样结构的正确选择存在困难。由于Zobnin和Lomakin的[12]已经通过直接计算表明对于强各向异性材料,载荷与裂纹长度的关系几乎是相同的对于相同构型的各向同性试样,数据之间的差异在不同的标本上取得的数据还有待解释。特别是,目前还不清楚为什么图3a所示试样的K值高于如图3b和c所示。
4、讨论
4.1 复合材料的断裂韧性与纤维体积分数的关系
记住上一节中所作的评论,让我们在曲线网上绘图图2中两种试样的实验点(图3)厚度为2.5至3.0mm,且无分层现象。如果实验数据与计算曲线有关,取β=4.3(对应弹塑性)那么K*f应该假定为大约300kgfmm-3/2。当然,这样的比较不能直接证实这个模型,但它提出了一种有趣的可能性,可以通过确定金属丝的断裂韧性来设计复合材料。与此同时,这种比较可以被认为是间接的证据,表明该模型能够很好地描述金属的行为基体金属纤维复合材料。
4.2 分层
在评价公式3时,假设界面键值不大于基质强度,原始裂纹的模态I预计将保留。第二种假设在微观层面上的有效性还有待讨论,但在宏观层面上,在足够高的vf值下,它是无效的。众所周知[5-7],当vf达到一定值后,裂纹扩展方向发生变化,导致裂纹沿纤维向前推进,从而产生宏观分层。实际上,这是由于垂直于纤维方向的断裂韧性随yf的增加而增加的结果如果复合结构中含有应力集中器,则纤维体积分数的进一步增加不允许增强强度的增加,从这个意义上说,是最佳的。需要注意的是,当载荷达到K = 200~300kgfmm-3/2时,所有试件都进行了验证试验。
显然,一些结构性的增长复合材料的强度可以通过增强纤维-基体界面来实现(直到界面强度与基体强度相等)。复合材料断裂韧性的进一步提高可以通过基体剪切强度和基体横向拉伸强度的提高来实现。一种有效的方法是在横向上对基体进行额外的强化。标本号.930(表2)横向钢筋体积分数小,仅在K=460kgfmm-3/2时发生剥落,(该试件比图2略薄)。
4.3 纤维-基体界面对复合材料断裂韧性的影响
已知两种脆性组分复合材料的断裂韧性是确定的的接口。韧性基体和韧性纤维之间的界面所起的作用是不太清楚。上面考虑了一种可能的宏观分层。但是,削弱了低纤维体积分数的界面会导致局部分层和过早颈缩的纤维。另一方面,弱界面会由于基体中塑性变形区域的拉出或扩大而增加能量耗散。利用图3a所示的试样,研究了整体强度对复合材料断裂韧性的可能影响。
为实验制备了四种复合材料板,并给出了相应的试件在(表2的前8行)中。前2个标本正常制备。四个标本受到扩散连接,然后在真空加热温度480℃一段时间(见表)形成一个厚的金属间化合物层的接口(无切口拉伸测试标本的这些板块显示纤维属性保持不变)。两个试样中含有表面氧化层的导线。
对这些试样的试验结果表明,随着温度的升高,界面条件发生了变化薄金属间层的形成对复合材料的断裂韧性没有实质的影响361复合。在纤维被氧化层覆盖的试样中,界面的弱化导致了断裂韧性的降低,尽管界面弱化的程度难以估计。

界面能量耗散对复合材料断裂功的贡献可以通过假设界面上没有键的理想复合材料为两根独立断裂的双杠来定量估计。因此,这样一个系统断裂的工作将会是界面上没有能量消耗。结果表明,复合材料的临界应力强度因子与理想键合复合材料的临界应力强度因子之比。

在实验中,值的比值为界面强度高低的复合材料K*约为1.2。这表明非理想粘结试样的界面强度是足够的高延迟纤维颈缩,或弱界面上的能量耗散为由于纤维颈缩延迟,复合材料中钢丝的断裂功增加。这两个原因的结合可能是正确的解释。
5、结论
(1)建立了带裂纹的金属基-金属纤维复合材料模型。这模型是基于纤维在韧性基体中稳定性的增加。在A1-Fe复合材料上进行的实验支持了模型的概念。
(2)实验给出高强度临界应力强度因子的可能性有人建议用电报。基本试验是对有缺口的复合材料试样进行试验。
(3)研究表明,横向抗拉强度和纵向抗剪强度均有所提高通过在横向上附加加固可导致实现高强度金属-金属复合材料在垂直于纤维方向上的抗裂纹扩展能力。
(4)实验表明,在试样中界面强度有较大的变化金属基-金属纤维复合材料可能不会对复合材料的断裂韧性产生本质的改变。
转载请注明精川材料检测地址:www.jctest.vip

