混凝土中钢筋的磁性无损检测方法DOI: 10.1134/S1061830918120057
混凝土中钢筋的磁性无损检测方法 DOI: 10.1134/S1061830918120057
1、摘要
已经在理论和实验表明,局部磁化钢筋的保护层混凝土可以确定混凝土保护层的深度和直径的钢筋基于杂散磁场的磁性钢,钢筋是由时间组成的。
关键词: 无损检测,混凝土中的钢筋,偶极子模型
在钢筋混凝土结构整个生命周期中寻找钢筋并进行无损检测是一项热门的实践任务[1-4],它包括定位钢筋网,以及确定其参数,如深度(保护混凝土层的厚度)和棒的直径。
磁法是一种很有前途的技术,它主要是通过形成一定构型的主磁场来磁化钢筋局部截面,并记录由此产生的杂散磁场的参数。通过试验建立了流场与上述结构参数[5]之间的关系,确定了保护混凝土层的厚度和钢筋在结构中的位置。
到目前为止,市场上有大量实施磁性法的设备[例如,IPA-MG4.1(SKB Stroipribor)、Profoscope(瑞士的Proceq)、铁扫描PS 250(Hilti,列支敦士登)]。尽管它们有很大的差异,所有现有的装置在复运这个任务中都显示出近似相同的精度,Ulybin[6]用IPA-MG4.1和Profoscope对测定钢筋直径和保护混凝土层厚度的磁测误差进行了实验研究。根据他的研究,作者得出结论,这些仪器可以确定钢筋的深度误差为5-10%,钢筋直径误差为15-30%。需要注意的是,这些实验是在接近理想的条件下进行的,即已知钢筋直径的深度确定,已知深度的直径确定,没有相邻的平行钢筋和垂直钢筋。在实际研究中,这些条件在实际中几乎不可能实现,因此,在确定钢筋的深度和直径时,误差分别达到50-60%和100%。

图1. 用永磁体磁化钢筋的偶极子模型:Lm为永磁体长度(偶极子两极之间的距离);Lr为局部磁化钢筋截面的长度;d为钢筋直径;z和zm分别为传感器到钢筋和永磁体的距离。
在本研究中,我们从理论和实验上考虑了一个确定钢筋参数的模型,该模型可以定性地确定造成这种高误差的原因,并提出降低误差的技术建议。
螺纹钢最容易沿其轴线磁化(图1)。在这种情况下,磁化螺纹钢截面可视为具有两个间隔的点电荷的磁偶极子,与偶极子的距离可以被确定,而与电荷的大小无关,也就是说,与磁场强度或钢筋的磁性无关。
要确定这个距离,只需要知道场的振幅和它在测量点[7]处的梯度。只有在距离测量点的距离已知的情况下,才能根据杂散场的大小计算钢筋直径,所测杂散场的大小受钢筋的磁场特性和磁化强度的影响。根据磁化系统的参数可以计算出增强体的磁场,但增强体的磁特性通常是未知的,并且会随着磁场的变化而变化。磁力系统的参数必须提供钢筋的磁化强度与其直径的比例,而不考虑其磁性。如果被磁化钢筋截面的退磁系数远大于其磁化率,这种磁化方法是可行的。
图1显示了磁化钢筋的偶极子模型。提出了一种具有两点磁极的永磁体对钢筋局部区域进行磁振处理的方法。将磁传感器系统置于其中一个磁极上,测量杂散场的法向分量和磁场梯度。
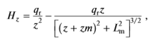
在钢筋局部磁化的情况下,钢筋中的磁感应将取决于施加的磁场、磁化截面的尺寸和钢筋材料的磁性:

He 磁场是由永磁体偶极子产生的,

图2. 典型的低碳钢导磁率与外磁场的关系。


图3. 钢筋永磁局部磁化强度的计算结果。

软钢制成的钢筋的磁性将取决于磁场(图2),也就是说,在小磁场中,我们将有μ=100,随着场地的增加,降雨量将达到1000[8]以上。T为了使测得的磁场不依赖于钢筋的磁性,有必要在强制力在钢筋附近建立场(或者达到mmax)。这可以通过使用最先进的高能永磁体来实现。
图3显示了一个计算一个直径为28mm的螺杆钢磁体磁化强度的例子,该磁体的尺寸为40,40,120mm,位于距离为140mm处。

图4. 计算(H*)和测量(H)杂散场从磁化钢筋直径。
钢筋部分磁化B=0.24T,μ=1250。在这种情况下,退磁系数为0.01,可以假设在这样的磁化系统下,钢筋的磁性能在距离为140mm时不受影响。在偶极子模型(图1)中,钢筋磁化截面产生的磁场为:

其中q是钢筋磁偶极子的点电荷,与钢筋磁化段的磁f(3)成正比。

为了确定钢筋的直径,有必要测量其最大出口处以上的正常的条形磁场频率,图4显示了三种不同直径和从钢筋到传感器的不同距离测量Hz的结果。

其中A是与磁化系统的几何形状和永磁体的支柱有关的系数,For给定磁化system,这个系数是A=3.4。利用式(7)中的关系式可以推导出形式中直径与测量场的关系式:

图5显示依赖的直径计算使用公式(8)从钢筋到传感器的不同距离,当改变保护混凝土层厚度时,钢筋直径的测定较为准确,误差在10%以下。

图5. 测定从钢筋到现场传感器的不同距离的钢筋直径。

图6. 针对不同的杆径,确定从钢筋到现场传感器的距离。
要确定点电荷到测量点的距离(见图1),可以使用成分这一点测量的磁场与其梯度的比值。电荷形成的场,场梯度-q/r3,因此钢筋的距离传感器是[7]。

钢筋磁化的偶极子模型(见图1),它可以假定两极的偶极子是在一个大的距离,他们互相影响因此可以被忽略,而且,利用公式的Eq(10),一个可以确定钢筋的距离传感器。

Δz在Hz之间的距离并且ΔHz 在这两点上采取的措施有不同,由关系式(11)可知,无论磁化钢筋截面的性质如何,且不考虑磁化场的大小,都可以确定钢筋到传感器的距离。图6显示了不同钢筋直径和不同距离下测量的杂散场Hz,根据实验数据,利用关系式(11)计算钢筋到传感器的距离。
(1)在本研究中,我们建立了钢筋局部磁化的偶极子模型。该模型较准确地验证了不同直径钢筋杂散场测量的实验结果。
(2)实验和理论研究表明,磁法可以独立地确定钢筋与钢筋的距离和钢筋的直径。为此,只需测量钢筋局部磁化截面引起的杂散场及其梯度即可。磁场强度和钢筋直径不影响这一距离的确定。
(3)无论钢筋的磁性如何,都可以确定钢筋的直径。
转载请注明精川材料检测地址:www.jctest.vip

