-
详述弹性力学问题的求解方法-位移法
弹性力学空间问题的基本方程有15个方程,分别为3个平衡方程,6个几何方程和6个物理方程,未知数也是15个,分别为3个位移分量,6个应力分量和6个应变分量
2021-12-20
-
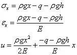
详述弹性力学问题的求解方法-应力法
下面我们来考虑如何利用应力法求解二维弹性力学问题,目标为将所有未知量都用应力表示,即所有方程中,不再出现应变分量和位移分量。依然考虑平面应力状态下的基本方程
2021-12-20
-
重大突破!抵抗高温腐蚀磨损结焦,垃圾发电锅炉有了“防护衣”
8月27日,记者从华北电力大学获悉,华北电力大学曲作鹏博士低碳新能源团队联合松山湖材料实验室绿色非晶材料团队和装甲兵工程学院装备再制造技术国防科技重点实验室专家团队集智攻关
2021-12-17
-
球墨铸铁提高球化率的工艺实用方案
国内普通球墨铸铁铸件的球化级别要求达到4级以上,(即球化率70%,)一般铸造厂达到的球化率为85%左右。近年来,随着球墨铸铁生产的发展,尤其是在风电铸件生产和铸件质量要求较高的行业,要求球化级别达到2级,即球化率达到90%以上
2021-12-16
-
扳手突然断裂,这次是谁惹的祸
力矩扳手的主要作用是紧固螺栓,其应用力矩一般为扳手扭力的20%~90%连续可调,使用时先设定目标扭矩,扳动手柄,在其扭矩达到目标值时,扳手会发生轻微的震动和清晰的“卡塔”声
2021-12-16

