详述弹性力学问题的求解方法-位移法
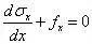
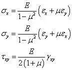
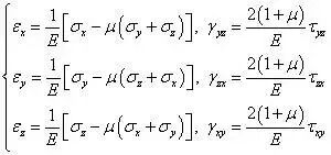
弹性力学空间问题的基本方程有15个方程,分别为3个平衡方程,6个几何方程和6个物理方程,未知数也是15个,分别为3个位移分量,6个应力分量和6个应变分量。只要求出这15个未知量,就可以解决工程中的强度(依据应力、应变)、刚度(依据应变、位移)和稳定性(临界载荷可由应力给出)。然而,问题在于平衡方程和几何方程为微分方程,这给求解带来了极大的挑战性。
平衡方程:
几何方程:
物理方程:
在力学分析中有一类非常有效的“以退为进” 分析方法,在面对一个非常棘手的问题时,先通过一定的假设将问题简化,先求解简化问题,然后再逐步增加问题的难度,最终达到解决问题的目的。假设有一维弹性力学问题,除σx、εx、u、fx不为0以外,其它量均为0,此时弹性力学基本方程简化为:
平衡方程:
几何方程:
物理方程:
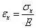
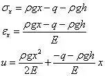
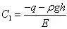
先积分平衡方程,得σx=-fxx+C1,将其代入物理方程,得εx=(-fxx+C1)/E,再将应变代入几何方程,得u=(-fxx²)/2E+(C1x)/E+C2。其中C1、C2为积分常数,需要通过边界条件来确定。
图1 一维弹性力学问题:立柱
设有高为h的立柱,如图1所示,密度为ρ, 则体力fx=-ρg,下端为固定端,上端受均布载荷q作用。此时写边界条件,如下:
上端x=h处:
代入应力边界条件,有
在固定端上写位移边界条件,由于位移分量除u 以外,均为0,在边界上有
下端x=0处:
u=0(v=0和əv/əx=0自然满足)
代入位移边界条件,有
因此,将常数C1、C2带回解中,得
求解完毕。
在数学中,求解方程组通常可采用消元法,先得到只有一个未知数的方程并求解,然后逐一代回原方程组得到其它未知数。对于一般弹性力学问题,也可以采用消元法,只不过弹性力学方程组很难消元至只含有一个未知量的方程,但消元的思想仍然可以借鉴。
我们把弹性力学未知量分为应力分量、应变分量和位移分量三类,如果将应力和应变都用位移表示,使得方程中只含有位移未知量,达到消元的目的并求解,这种方法称之为位移法;当所有的未知量均由应力分量表示,使得方程中只含有应力未知量,达到消元的目的并求解时,称为应力法。所谓的位移法和应力的关键在于选择位移,还是应力作为未知量。还有些题目,如温度应力,将问题分解为两步求解:第一步不考虑实际边界,只考虑温度引起的变形,采用位移法;第二步,叠加应力,以满足真实的边界条件,采用应力法。这种问题混合使用了位移法和应力法,被称为混合法。
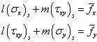
平面问题(包括平面应力问题和平面应变问题)求解在弹性力学中占有重要地位,以下我们以平面应力问题为例,说明二维平面问题的求解。对于平面应力问题,有
弹性力学基本方程简化为
平衡方程:
几何方程:
物理方程:
下面分别讨论利用位移法和应力法求解上述平面应力问题的方程组。对于平面应变问题,只需要将弹性常数E变换为外E/1-μ²,将μ转换为μ/1-μ。
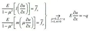
位移法 位移法的目标是将所有的未知量由位移分量表示,观察方程组发现:几何方程中,应变分量已经由位移分量给出,而物理方程描述的是应变与应力之间的关系,先将物理方程变形为用应变表示应力的形式,有 将几何方程代入上式有 现在应力分量也由位移分量表出,将上式代入平衡方程,得 上式为用位移表示的平衡方程。现在可以看出, 上式中含有u 和v 两个未知量,共两个方程, 理论上可以求解。但是很多力学家验证,直接求解上述方程组的难度很大,多数情况下需要采用有限差分、有限元等数值方法进行求解。 这里,我们仍然以图1所示的一维问题为例, 来说明位移法的求解过程。对于一维问题,上式中,v=fy=ə/əy=0,一维问题不考虑横向效应,μ=0,因此用位移表示的平衡方程简化为 对上式积分两次,得 其中,fx=-ρg,C1和C2为积分常数,需要通过边界条件确定。从题设可知,x=0处为位移边界条件u=0,将上式代入,得C2=0。 在x=h处为应力边界条件。应力边界条件公式为 将下式代入上式表示的边界条件 得 这里可以看出,应力边界条件实际上可以转化为位移边界条件。具体到本问题,考虑v=fy=ə/əy=0,且l=1,m=0。上式变为 依据 得əu/əx=(ρg/E)x+C1,将其代入边界条件式 得 将C1和C2代回式 得 获得位移分量后,通过几何方程,得到应变分量εx=(ρgx-q-ρgh)/E,再利用物理方程得到应力分量σx=ρgx-q-ρgh,与下式表示的解完全一致。

