详述弹性力学问题的求解方法-应力法
应力法
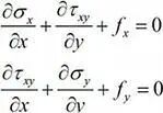
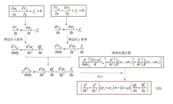
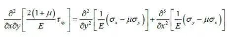
下面我们来考虑如何利用应力法求解二维弹性力学问题,目标为将所有未知量都用应力表示,即所有方程中,不再出现应变分量和位移分量。依然考虑平面应力状态下的基本方程,如下所示: 平衡方程: 几何方程: 物理方程: 其中,平衡方程中只含有应力分量,无需过多关注。下面重点来看几何方程和物理方程。首先看几何方程,从方程形式看,2个位移分量决定了3个应变分量,那么3个应变分量之间很可能不完全独立,那么它们应该满足什么关系呢?为了说明3个分量之间的关系,我们进行如下推导: 请关注最后导出来的式(13),这个式子把三个应变分量写在同一个方程中,明确无误的表明了3个应变分量并非完全独立,它们就像一条绳上的3个蚂蚱,只要有一个变动,另外的两个也可能跟着发生变动。3个应变分量满足的这一关系称为变形协调方程(或相容方程),这一关系最早由圣维南于1864年导出,1866 年,贝尔特拉米(Eugenio Beltrami, 1835-1900.意大利著名数学家)对其进行了严格证明。变形协调方程说明了真实弹性体发生变形时需要满足的条件,即某一点的应变分量满足上式时才是真实的,如果不满足上式, 对于真实的弹性体,很可能发生了断裂、质点堆叠等不可预估的情形,超出了弹性力学的研究范畴。 再回到平面问题基本方程,如果将物理方程代入变形协调方程,就可以得到用应力表示的变形协调方程,有 现在已经看到,几何方程和物理方程已经转化为上式,完全由应力分量给出,与平衡方程 一起组成方程组,3个方程(2个平衡方程+1变形协调方程)求解3个未知量(σx、σy、τxy),为封闭方程组。继续沿着消元的思想,利用平衡方程,还可以将变形协调方程中的τxy消去, 我们进行如下推导: 上式为考虑了平衡方程的相容方程,只要找到上式的解,就可以利用平衡方程,求出τxy,再依据物理方程,求出应变分量,最后依据几何方程,求出位移分量。 如果仍考虑图1所示的一维问题,仍有v=fy=ə/əy=0,以及μ=0,上式将简化为 由于,fx=-ρg为常数,为ə²/əx²,积分后有 代入物理方程,得 再代入几何方程,有 考虑固定端位移边界条件,有 还有两个未知数C1和C2,但是顶部应力边界条件只能写出一个方程,需要再补充一个应力边界条件。为此,考虑固定端,去掉约束后, 下端约束反力为ρgh+q,如 图2 固定端等效面 以下为应力边界条件: 上端: 下端: 联列两个应力边界条件,得 代入应力、应变、位移表达式,得 利用应力法求解也与前面的解一致。 平面问题的求解在弹性力学中占有非常重要的地位,是弹性力学的重点内容。本文虽然推导了二维平面问题应力法和位移法的基本方程,但所举例子均为一维问题,没有真正涉及二维问题的求解,目的在于理解力法和位移法的求解过程。实际上,二维问题的求解难度要远远大于一维问题,时至今日,利用位移解析法求解二维问题的例子仍然很少。

