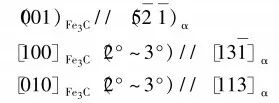
20世纪50年代的书刊中就将珠光体译为“铁素体与渗碳体的机械混合物”。现在看来此概念不够正确。首先,由铁素体+渗碳体构成的组织不全是珠光体,如碳素钢中的上贝氏体组织也是由铁素体与渗碳体两相组成的。第二,钢中的珠光体是过冷奥氏体的共析分解产物 如(图1)。其相组成物是共析铁素体和共析渗碳体 (或碳化物),是铁素体与碳化物在相界面上的有机结合,界面上,两相原子有结合力;平衡状态下,铁素体及碳化物两相是成一定比例的约(7:1),有一定相对量。此外,两相以界面相配合,存在一定的位向关系。如在珠光体中,铁素体和渗碳体之间的晶体学取向关系有两种:
一种是Pitsch-Petch关系:
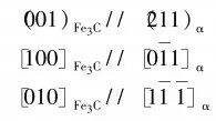
另一种是Bgayatski关系:
科学技术哲学称此为整合系统,即珠光体是一个整合系统,而非混合系统。说明珠光体中的两相是有机结合,非机械混合。显然,将铁素体和渗碳体机械地混杂在一起称为珠光体是很不严谨的。一堆废钢铁是混合系统,混合系统的各个组元之间是各自独立的,没有固定的比例关系,没有结合力,更不存在位向关系。因此将钢中的珠光体应该定义为:共析铁素体和共析渗碳体 (或碳化物)有机结合的整合组织。共析铁素体和共析渗碳体是指其为共析分解的产物,不是通过其他方式形成的。整合在科学技术哲学中,其含义是整体上的有机结合,有序配合,组织化匹配。
