力学表征参数的可比性与工程指向:常用测试方法、关键参数与材料性能判读
材料力学性能不是“强度高、韧性好”这样的总括词,而是材料在特定加载路径、应变率与温度条件下,对变形与失效过程的响应。力学参数依赖试样几何、缺口/裂纹状态、约束条件以及判据与数据处理定义,因此必须与测试方法绑定理解。加载方式改变时,主导机制可能从均匀塑性流动切换为局部化、裂纹扩展或时间相关变形,使得同一材料在不同试验中得到的结论并不等价。下文以常见力学测试为主线,提炼各方法最关键的输出参数,说明其物理含义与适用边界,并结合典型研究展示这些数据在研究中通常如何支撑“强化/脆化/耐久”判断。
单轴拉伸:从应力—应变曲线提取承载能力与变形机制的证据链
拉伸试验把弹性阶段、均匀塑性阶段以及颈缩到断裂的响应连成一条连续路径,常用输出包括弹性模量 E、屈服强度 σy(或 0.2% 偏移屈服 σ0.2)、抗拉强度 UTS、伸长率 δ与断面收缩率 ψ。其中 E 反映刚度与变形控制能力,σy/σ0.2 对应塑性流动起点并常用于量化强化水平变化,UTS 描述最大承载上限但峰后往往由局部化主导,δ与 ψ用于刻画断裂前塑性储备。对于组织调控研究,拉伸指标常被用来回答两类问题:一类是“强度提升来自哪里”(晶粒细化、析出强化、位错强化、固溶强化等综合效应在屈服与流动应力上的体现),另一类是“提升强度的代价是什么”(均匀塑性与断后塑性是否被压缩,局部化是否提前出现)。在服役退化评估中,研究往往把屈服强度升高与延性变化作为“硬化—脆化”的量化证据,并与转变行为指标联合给出风险指向(例如辐照材料评估中常见的屈服上移与韧性下降并行的情况)。
硬度与纳米压入:微区尺度下的局部强度与弹性支撑表征
硬度测试的核心价值在于效率与空间分辨率,它常用于定位组织不均匀、热影响区梯度或表层强化层深度。硬度反映的是特定压入尺度与接触条件下的局部抗塑性变形能力,载荷、压头几何、保载时间与表面状态会影响压痕响应,因此硬度与宏观强度常相关但并不总能等价映射。对焊接接头与热处理研究而言,硬度沿截面的梯度往往用来识别局部软化区与潜在脆化区,并与显微组织(析出、回火、晶粒粗化或第二相连续化)建立对应关系。 当研究进入薄膜、涂层或极小区域时,纳米压入可通过载荷—位移曲线给出硬度与压入模量,Oliver–Pharr 框架以卸载段接触刚度分离弹性回复与塑性压入,使局部“弹性支撑能力”和“抗塑性变形能力”可被量化比较。纳米压入研究中常见的“突跳(pop-in)”事件,常被用作局部塑性启动的标志,并进一步与位错成核、界面约束或表面制备状态联系起来。

图 1. 纳米压入载荷—位移曲线示例(材料:Al(111) 单晶;对比不同表面制备条件)
冲击韧性与 DBTT:缺口动态加载下的延脆转变与脆断风险判读
Charpy 冲击试验得到的吸收能,本质上反映的是试样在存在缺口且加载速率较高时对断裂过程的能量消耗能力。工程上更有价值的信息往往不是某一个温度点的数值,而是吸收能随温度变化形成的转变曲线,因为这条曲线能够给出上平台能量(USE)和延脆转变温度(DBTT)等特征量,并据此判断材料对脆断的敏感程度以及裂纹在动态载荷下被阻滞的可能性。对于具有明显延脆转变行为的钢铁材料,DBTT 向高温方向移动通常意味着脆性断裂更容易在较温和的服役温度下出现,风险区间随之扩大,因此该指标常被用于服役安全评估与工艺参数的选取。在焊接接头研究中,Charpy 转变曲线也经常用于对比不同焊接工艺或热输入条件下的转变行为差异,从而把焊接热循环导致的组织变化与宏观冲击响应联系起来,为后续的机理分析与工艺优化提供依据。

图 2. Charpy 冲击能量—温度转变曲线示例(不同焊接工艺/热输入条件对比)
断裂韧性:以裂纹为前提的起裂判据与裂纹扩展阻力表征
当结构存在裂纹或缺陷时,评价重点从“整体延性”转向“裂纹尖端驱动力与扩展阻力”。ASTM E1820 体系以 KIC、JIC 与 CTOD 等参数描述材料抵抗裂纹起裂与扩展的能力,并可用点值或 R 曲线表达扩展阻力随裂纹增长的演化。对高韧材料或塑性区较大情形,CTOD 与 JIC 常用于把裂尖附近的弹塑性变形能力以可比较的形式表征出来。CTOD 通过裂尖开口位移把裂尖变形的“可容许程度”转译为工程可测量,常用于焊接结构与高韧材料的完整性评定;其数据一般来自力—位移记录并结合几何与旋转因子模型进行换算,或在特定方法下进行直接测量。在研究层面,CTOD(或 JIC)随温度的转变曲线,经常用于回答“同样是韧性材料,在低温区为何更容易起裂或更难稳定扩展”,并把这种变化与约束效应、强度不匹配、组织带状化或裂纹路径偏转能力联系起来。

图 3. CTOD 参数定义示意(裂尖开口位移的定义与试验记录关联)

图 4. CTOD—温度转变曲线示例(不同焊接工艺/热输入条件对比)
疲劳寿命与裂纹扩展:耐久性的寿命评估与裂纹增长动力学表征
S–N 或 ε–N 试验用于寿命统计对比,适合回答在给定载荷谱下“能撑多久”。当研究进入损伤容限、检修间隔或寿命分段预测时,疲劳裂纹扩展曲线 da/dN–ΔK 更关键,它以应力强度因子幅值 ΔK 描述稳定裂纹扩展速率,并能用近阈值区与 Paris 区参数化裂纹增长倾向。在环境效应研究中,da/dN–ΔK 的对比常用于揭示空气、真空或腐蚀介质对近阈值扩展行为的影响。近阈值区的变化往往意味着裂纹在小驱动力下的扩展更易被抑制或更易被激活,而 Paris 区参数的变化则更常被用来讨论裂纹尖端塑性耗能能力、裂纹路径偏转与闭合行为差异,这些信息比“寿命变长/变短”更接近机制层面的解释。

图 5. 近阈值疲劳裂纹扩展 da/dN–ΔK 数据示例(空气 vs 超高真空对比)
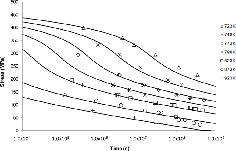
蠕变与持久:时间相关高温强度与寿命参数化表征(Larson–Miller 等)
在温并且需要长期承载的服役条件下,材料的失效往往不是一次性超载造成的,而是随时间逐步累积的变形发展到不可逆的程度,最终走向持久断裂。因此蠕变试验通常关注的是随时间变化的应变过程以及由此得到的最小蠕变速率和断裂时间等指标,这些数据直接对应材料在该温度与应力水平下“能稳定工作多久”和“以多快速度在变形”。为了把不同温度下获得的断裂寿命放到同一个可比较的框架中,研究中常采用时间—温度参数化方法,其中 Larson–Miller 思路是最常见的一类,它通过统一坐标把分散的寿命点汇总起来,从而在一定前提下支持寿命外推,同时也便于观察不同温度区间内寿命规律是否发生变化。实际评估时,Larson–Miller 曲线的意义并不止于把数据连成一条平滑曲线,更重要的是用它对比不同材料状态或不同预测模型在中温与高温区的偏离程度,因为这些偏差往往提示外推的适用范围以及结果的不确定性来源。对工程材料来说,这类参数化方法的价值在于把零散的持久寿命数据整理成一张更直观的“寿命图谱”,但前提是主导变形与损伤机制在所讨论的范围内相对一致,一旦机制发生切换,同一套参数化关系继续外推的可靠性就需要重新判断。

图 6. Larson–Miller 方法得到的应力—断裂时间预测曲线示例(Grade 22 钢蠕变数据)
总结
力学表征的关键并不取决于试验做得多不多,而在于得到的每一个参数都能对应明确的力学定义和加载条件,并且能够和材料的组织变化、损伤发展以及最终的失效方式对得上,从而形成一条能够被复查的推理路径。拉伸数据更适合用来说明无缺口条件下的承载能力和塑性储备,硬度与纳米压入强调的是微区尺度上的局部抗变形响应,冲击试验主要反映缺口条件下的转变行为与脆断敏感性,断裂韧性关注裂纹存在时的起裂门槛与扩展阻力,疲劳裂纹扩展则把耐久性问题落到裂纹随循环载荷的增长规律上,而蠕变与持久试验把时间效应纳入强度与寿命的描述,使高温长时服役的风险可以被量化讨论。把这些数据放回各自的适用范围并在同一套判读逻辑下相互印证之后,关于材料性能的结论才更稳定,更容易复核,也更能支撑实际工程中的取舍与决策。

