断裂力学的一些知识点
目前,断裂力学总的研究趋势是:从线弹性到弹塑性;从静态断裂到动态断裂;从宏观微观分离到宏观与微观结合;从确定性方法到概率统计性方法。
所以就断裂力学本身而言,根据研究的具体内容和范围,它又被分为宏观断裂力学(工程断裂力学)和微观断裂力学(属金属物理范畴)。宏观断裂力学又可分为弹性断裂力学(它包括线性弹性断裂力学和非线性弹性断裂力学)和弹塑性断裂力学(包括小范围屈服断裂力学和大范围屈服断裂力学及全面屈服断裂力学)。工程断裂力学还包括疲劳断裂、蠕变断裂、腐蚀断裂、腐蚀疲劳断裂及蠕变疲劳断裂等工程中重要方面。
如今在断裂力学研究方法中,又引入可靠性理论,称为概率断裂力学,使断裂力学的研究内容更加丰富,也使断裂力学的理论得到进一步的发展和完善,并在工程实际中发挥出越来越大的指导作用。
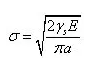
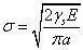
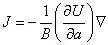
01 格里菲斯理论 为研究材料内部含有裂纹对材料强度有多大影响,上世纪20年代的格里菲斯首先研究了含裂纹的玻璃强度,并得出断裂能量的关系: 这就是著名的格里菲斯断裂判据,其中,G为裂纹尖端能量释放率,γs是表面自由能(材料每形成单位裂纹面积所需能量)。由此关系可得格里菲斯裂纹应力和裂纹尺寸关系: 式中,a为裂纹长度。若G>2γs,裂纹将扩展;若G<2γs,裂纹不会扩展;若G=2γs,为极限状态。又若裂纹扩展,且dG/da>0,可以确定为失稳扩展;若裂纹扩展,且dG/da<0,则裂纹止裂。 02 应力强度因子K 裂纹顶端区域弹性应力场强度因子的简称,是线弹性力学中反映裂纹顶端区域弹性应力场强弱的力学参数,以符号KI表示。对裂纹顶端附近区域应力场的研究可知:靠近裂纹顶端的应力,在趋近于裂纹顶端处,其数值以某种方式趋向于无穷大,即具有奇异性。因此,不能用此处应力来衡量其强度。而KI值能反映裂纹顶端区域弹性应力场的强度,它的数值大小与所受荷载的大小、裂纹尺寸及几何形状有关,格里菲斯裂纹的数学表达式为: 其中,σ为应力,a为裂纹长度,按裂纹扩展的三种形式有KI、KII、KIII,分别表示 I型,II型和III型裂纹的应力强度因子。其中,对于I型裂纹: 式中,E 为平面应力。 03 J积分 1968年由赖斯 (J.R.Rice) 提出。它反映裂纹顶端由于大范围屈服而产生的应力、应变集中程度。J积分的定义是: 用于研究平面问题,它代表与裂纹扩展有关的能量。式中右侧第一项是与应变能有关的能量,其中,W是应变能的密度(即单位体积应变能)。在弹塑性情况下,为单调加载过程中试件各处体元所接受的应力变形功密度(包括弹性应变能和塑性变形功)。第二项是ds上面力分量;ds是路径Γ 上的弧元。 J积分有以下各性质: J积分与路径无关; J积分能决定裂纹顶端弹塑性应力应变场; J积分与形变功功率有如下关系: 式中,B为试件厚度,U为试件的形变功,▽为给定位称。上式是J积分得以实验测定的基础。 04 阻力曲线 断裂力学中表示裂纹在材料中发生稳定扩展行为的曲线(下图所示)。纵坐标为裂纹扩展的阻力,用J积分、CTOD的δ或应力强度因子K表示,横坐标为裂纹扩展量△a。裂纹未扩展时曲线与纵轴重合,一旦扩展则△a≠0,曲线便偏离纵轴,拐点即为起裂点。再后面表示稳定扩展过程。当曲线上某点的切线能通过水平负轴上表示裂纹长度的点时,表示将发生失稳扩展。失稳时裂纹扩展推动力与裂纹扩展阻力随裂纹尺寸的变化率相同,不需加载裂纹即会自行快速扩展而断裂。阻力曲线可以用试样测试,可用于确定起裂值(δi或JIC)或条件起裂值(δ0.005或J0.005等),也可用以预测构件中裂纹发生亚临界扩展的过程。 05 数值计算方法 随着断裂力学研究的日益深入,需要求解的问题日趋复杂化和多样化,使得如何建立高效、高精度的计算方法成为学者们研究的热点。由于计算机科学、计算数学和力学等学科的不断发展,用于解决断裂力学问题的数值计算方法不断涌现,从早期的有限差分法、有限元法、边界元法到现在的无网格法、数值流形法、小波数值法、非连续变形分析等,它们正成为推动断裂力学研究不断发展的重要工具。
注:应力强度因子适用于裂纹尖端塑性区比K场区小几倍,也比裂纹长度小几倍,如韧性材料。
精川材料检测:http://www.jctest.vip/

