
图2 3 种低合金钢在模拟人工海水中的极化曲线
Fig.2 Polarization curves of three low alloy steels at 20 o C in simulated artificial seawater containing 5 mg/L dissolved oxygen
图2为3种钢在氧含量为5mg/L,20℃人工模拟海水中测得的极化曲线图。结果表明,3种钢的腐蚀历程相似,阳极反应为金属活性溶解,阴极为氧的去极化反应。通过对极化曲线进行拟合,拟合结果如表2所示。在模拟海水中,907A钢的自腐蚀电位最负为-0.7120V,980钢最正为-0.6953V,921A钢的电位介于两者之间为-0.7054V。
表2 3 种低合金钢的极化曲线拟合结果
Table 2 Fitting results of polarization curves of three low alloy steels in simulated artificial seawater


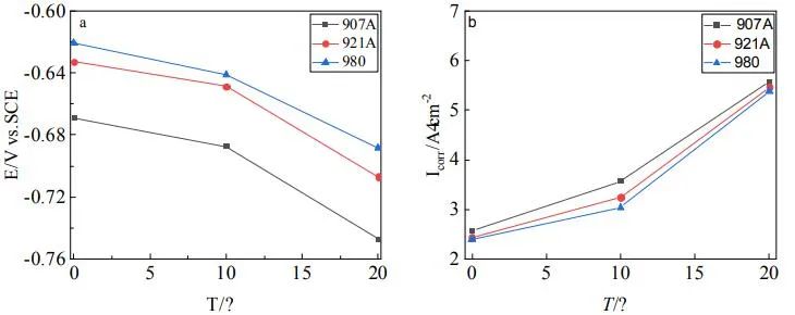
图3 3 种低合金钢的开路电位与腐蚀电流密度随温度变化曲线
Fig. 3 Open circuit potentials (a) and corrosion current densities (b) of three low-alloy steels as functions of temperature
图3为3种钢浸泡7d后的的开路电位电位与腐蚀电流密度随温度变化图。由图3a可知,控制氧浓度在5mg/L时,随温度由0℃上升至10℃时,3种合金钢的开路电位负移程度不超过20mV,腐蚀电流密度增长缓慢。当温度由10℃上升至20℃时,907A钢的自腐蚀电位负移约30mV,而921A钢和980钢的腐蚀电位负移程度较小。图3b中随着温度升高,3种钢的腐蚀电流密度都呈现增大趋势,表明在低温环境下,合金钢的腐蚀速率较缓,但当温度升高时腐蚀速率则明显增大。
从3种钢的腐蚀电位与腐蚀电流密度随温度的变化图可以看出,3种钢之间存在一定的电位差,根据混合电位理论,907A钢作为907A/921A/980三金属体系的阳极,980钢作为三金属体系的阴极,处于中间电位的921A钢的极性需进一步进行实验验证。从图4a中的开路电位图,921A钢与980钢的电位差约为30mV,921A钢与907A钢的电位差约为40mV,921A钢更倾向于作为阴极。根据热力学理论,存在电偶腐蚀的倾向。