你怀疑过有限元软件的准确性吗?
很多人可能和我一样,刚接触有限元分析那会儿觉得很神奇,但也总会想现实世界的模型纷繁复杂,就区区一个软件真的就能算出我们想要的结果吗,或者说求解的结果准确吗。其实不止是你,任何一个严肃的工程师在运用软件分析结果时,也会做实际的验证。但最好的方式是如果通过理论计算可以算出结果,且和软件分析的结果一致是最好不过的了。但实际情况是大多数模型都不可能直接算出来,比如很多CFD的计算结果就要通过风洞试验才能验证。
当然抛开实际的复杂模型,我们可以找个简单的可以理论计算的例子来反验证一下有限元软件的准确性。比如下面这个例子,我分别运用NX Nastran,Ansys,Solidwroks Simulation三个不同的求解软件来求解。

这个模型是很简单的力学模型,通过材料力学的公式就可以理论计算出来,就是下面这种情形:

最大位移=P*L³/48*E*I
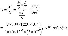
最大应力=M/Z
E是杨氏模量,I是截面二次力矩,Z是截面系数。
这个公式在材料力学的书上是有的,只要把相关参数带入即可算出。计算过程如下:
最大位移:
最大应力:
注:此处的最大应力为冯米斯 (Von Mises)应力,其中h=40mm,b=3mm,I=hb³/12,Z=hb²/6。
通过理论计算出最大位移约为1.232mm,最大应力为91.667Mpa。
那么有限元软件计算出来的结果如何呢。这里首先要说明一下,这个模型的求解是个典型的对称分析问题,对称分析的具体方法后面我会详细讲到。这里我们先简单看一下即可,大家也可以先想想为什么这样做。这里我用的NX Nastran,Ansys,Solidwroks Simulation三种软件处理对称分析是很类似的。
这个模型在两个方向都是对称的,所以只要划分成1/4模型就可以求解,如下图:

边界条件的施加如下图:

Solidworks Simulation计算的结果如下图所示:
可以看到Solidworks Simulation求出的最大应力为92.097Mpa,最大位移为1.239mm。
Nx Nastran计算的结果如下图所示:
可以看到Solidworks Simulation求出的最大应力为91.96Mpa,最大位移为1.239mm。
Ansys计算的结果如下图所示:
可以看到ANSYS求出的最大应力为91.944Mpa,最大位移为1.239mm。
综上我们看到,三种不同的求解软件算出的位移都是1.239mm,和实际值1.232可以说几乎一样;而最大应力彼此也差不多,和实际值91.667Mpa也几乎没差。通过将现实中简单的一个受力模型简化为材料力学中一个简单的公式,我们终于可以一探有限元软件的求解准确性,可以看出,在静力学分析中有限元软件的求解结果还是很准确的,各种有限元软件之间也没有太大差别,所以大家可以放心使用,要对自己的求解结果有信心!
当然,如果涉及到非线性或者热力学,流体力学等问题时,要获得理想的结果,网格划分是至关重要的,求解器本身不是非常重要。总之大家只要坚信,对于一般的问题,好的网格划分是获得优良结果的前提。希望大家在学习中多尝试,多用简单的例子来验证自己的想法。

