钛合金深海环境下的腐蚀模式及其特征
2022-03-04
钛合金的耐腐蚀性是由于钛和氧气很容易反应生成一层致密的TiO2薄膜,但在缺氧环境下,一旦钛合金表面钝化膜被破坏将很难自我修复。在深海环境下,氧的溶解度较小,钛合金结构装备会受到深海高静水压力的作用,高强钛合金的应力腐蚀敏感性高于其他种类的钛合金。钛合金的应力腐蚀会导致构件突然失效断裂,因而会发生严重事故。钛合金的应力腐蚀机理一般为2种,即阳极溶解型和氢致开裂型[35-37],如图5所示[38]。阳极溶解型:金属表面存在着不同特性的保护膜,这层膜在腐蚀介质或应力作用下发生破裂,使基体金属裸露在腐蚀介质中,金属基体作为阳极发生腐蚀反应。由于裸露的金属面积较小,从而形成大阴极小阳极的腐蚀电池,使得金属的腐蚀速度大大提高。氢致开裂型:吸附在金属表面的氢原子经过反应生成分子,再通过气泡的形式逸出。而另外的氢原子变成溶解型的吸附原子,之后溶解在金属当中。在外加应力的影响作用下,这些溶解的氢原子聚集在应力集中区,从而导致金属材料发生低应力条件下的脆断。仝宏韬[39]对Ti62A、TC4 ELI、TA5 3种典型钛合金材料进行了深海环境下应力腐蚀研究,相较于浅层低静水压力的海水环境,在4℃/8 MPa的海水环境条件下,3种材料的应力腐蚀敏感指数均有不同程度的降低,Ti62A、TC4 ELI、TA5的应力腐蚀敏感指数都小于25%,因而3种材料都无显著地应力腐蚀倾向。续文龙[40]利用Comsol模拟TC4钛合金在深海7 km左右环境条件下的氢扩散情况,得出在深海环境中钛材料应力腐蚀的类型主要为氢致开裂。王奎[41]通过空气、海水及25 MPa压力下的深海3种环境对TA2、TC4、Ti80进行实验。得到TA2、TC4、Ti80在海水环境中没有显著应力腐蚀敏感性。但是,在3种环境条件中,在25 MPa深海中的综合性能最差。可见,海水及压力仍会促进钛合金应力腐蚀开裂。由图5[38]可知,随着静水压力的增大,点蚀坑深度也随之增加,并且在坑底存在微裂纹,这些微裂纹则会造成应力腐蚀开裂。
不同深度的海水具有不同的流速,流速能够使氧气更易到达金属表面,减小扩散层厚度,并且去除附着在金属表面的腐蚀产物,金属裸露在海水中,进而加快金属腐蚀反应的速率。在深海,海水流速显著低于浅层海水的流速,因而设备受流速的影响作用较小。对于易钝化金属,受流速影响,海水中氧的传输能力增强,阴极去极化过程加速,金属的成膜速度加快,流速会增强金属的耐蚀性能,例如易钝化金属钛[42-44]。在狭窄的缝隙中金属离子(Ti3+/Ti4+)水解使缝隙内溶液酸化诱发缝隙腐蚀,增加了缝隙内腐蚀介质的活性,缝隙内低氧浓度和外侧高氧气浓度区域会形成腐蚀微电池,加快腐蚀速率[39,45,46]。海水中的厌氧型还原菌亦会对金属材料造成腐蚀,尤其是能在低氧或者无氧的深海区域生存的SRB[46]。在缺氧的条件下,附着在设备金属表面的SRB会产生阴极去极化作用,从而加快析氢腐蚀反应。
图5 X70 钢在不同静水压力下于 3.5% NaCl 溶液中,施加应力 σ=0.6σb,浸泡 200 h 后横截面点蚀形貌
Fig.5 Cross-sectional pitting morphologies of X70 steels under different hydrostatic pressures stress σ=0.6σb, after soaking in 3.5% NaCl solution for 200 h: (a) 0.1 MPa, (b) 5 MPa, and (c, d) 10 MPa[38]
为了能够承受深海的高静水压力,需要增加金属材料的强度。然而,随着金属材料强度的提高,塑性和断裂韧性则会下降[47]。循环载荷作用下钛合金结构的抗疲劳性能是评估结构安全性的重要依据,因而需要研究由于低周疲劳引起的结构失效,周期性的交变应力作用及应力过载均会造成金属材料的塑性变形。王雷[48]通过研究不同应变幅值下TC4 ELI的低周疲劳性能从而对钛合金耐压结构进行安全性评估,实验得出TC4 ELI会有循环软化的特性,并且随着应变幅值的增大,裂纹源逐渐从材料表面转变为材料内部,表现出更为明显的塑性断裂特征。Yang[49]通过研究不同应力比下钛合金的缺口疲劳行为,随着应力比的增加,钛合金疲劳强度下降。但对于深海服役的结构装备,例如深海空间站、深海潜艇等,将会面临更为复杂的工作环境,因而需要考虑深海综合因素影响下的寿命预测评估方式。
蠕变是恒定的外力作用在金属材料时,其应力与变形随时间变化的现象[50]。对于钛合金蠕变的研究一般分为高温拉伸蠕变、室温拉伸蠕变以及本文主要关注的室温压缩蠕变3个方向。因为钛合金首先被广泛应用于航空航天行业,因而首先对于钛合金的高温拉伸蠕变进行大量的研究[51-53]。通常钛合金的高温拉伸蠕变曲线分为3个阶段:初始蠕变阶段、稳态蠕变阶段以及加速蠕变阶段。位错攀移是钛合金在高温下的主要蠕变机制。高温下,位错受到阻碍时可以沿着垂直于滑移面方向攀移,位错因而可以继续移动。曾立英[54]通过在500、550、600℃,300 MPa应力下对Ti-60进行高温蠕变实验,得出蠕变变形主要是位错攀移控制。其他不同牌号的钛合金在高温下的蠕变变形机制也主要受到位错攀移控制[52,55]。此外,周晓舟[56]通过研究TC18的高温蠕变性能得出蠕变变形机制受温度影响作用,在350~400℃,蠕变应力指数小于2,钛合金蠕变变形主要受到位错滑移控制。在450℃,蠕变应力指数等于3,钛合金蠕变变形主要受到位错攀移控制。此外,在高温低应力环境下,蠕变受到空位扩散的影响。温度升高,空位浓度增大,扩散原子获得更高的能量,从而引起从高势能向低势能的扩散[57]。
然而,随着对深海开发的迫切需求,钛合金制深海装备越来越受到重视,在深海环境下,深海装备不仅会受到来自深海的腐蚀作用,还会受到高静水压力的作用。在高静水压力的作用下,材料会发生压缩蠕变变形,装备结构便会产生失稳甚至损坏,从而影响深海装备的安全性及使用寿命。因而需要对钛合金的室温蠕变进行深入研究。室温蠕变与高温蠕变具有很大的区别。高温下位错可借助于空位扩散而攀移,使得位错得以继续运动,从而材料依旧发生蠕变变形;而在室温下,无法为扩散提供需要的能量而使得攀移无法进行,因而室温下的蠕变曲线一般只有初始蠕变阶段以及稳态蠕变阶段。位错滑移以及孪晶被认为是控制室温蠕变发生的机制。
Peng[58]等人在中低温不同应力水平下对纯钛合金进行了拉伸蠕变实验,发现纯钛合金在室温下,施加应力水平低于屈服强度时,仍然会发生较为明显的蠕变变形。Oberson[59]通过对在室温条件下的α-钛合金蠕变实验得出蠕变主要变形机制是位错滑移和时间依赖型孪晶。陈博文[60]对室温下Ti-6Al-3Nb-2Zr-1Mo和TC4钛合金进行了高压压缩蠕变行为机制的研究,发现蠕变过程只存在减速蠕变和稳态蠕变阶段,并且存在相应的应力阈值。当外加应力低于钛合金的应力阈值时,会出现蠕变饱和的现象,此时钛合金的蠕变变形量非常小。当施加应力高于应力阈值时,则钛合金会出现稳态蠕变阶段,钛合金的蠕变变形量以一个恒定的速率增加。王雷[61]对双态和网篮组织的TC4ELI钛合金进行了不同应力水平下的压缩蠕变实验得到TC4ELI对应力有很强的敏感性,随着应力增大,钛合金更容易从蠕变的第1阶段发展到第2阶段。图6为双态组织TC4ELI钛合金蠕变前后的TEM照片,从图6a、6b可以明显看出在蠕变前,钛合金内位错分布少,位错密度低,应力集中在局部区域。图6c、6d是施加695MPa(0.7Rpc0.2)应力下的TEM照片。可以发现经过蠕变后,钛合金内位错密度显著增大,位错运动受到阻碍,并塞积在相界处。图6e、6f则是施加893MPa(0.9Rpc0.2)应力下的TEM照片,位错密度较695MPa应力下的急剧增大,此时外加应力高于应力阈值,更多方向的位错滑移系在外加应力的作用下被开动,蠕变因而可以继续进行。

图 6 双态组织TC4 ELI蠕变前后TEM 照片
Fig.6 TEM images of duplex-TC4 ELI alloy before (a, b) and after (c~f) creep at 695 MPa (c, d) and 893 MPa (e, f) [61]
目前对于钛合金室温下高压压缩蠕变已有部分研究,但一般都是只考虑模拟深海恒定高静水压力下的压缩蠕变试验,还未有以海水为介质的、以及模拟深海实际工作情况交变压力下的模拟实验的力学及化学性能综合交互作用研究。
钛合金因其表面一层致密的氧化膜从而带有比一般合金更正的电位,在深海环境中,海水是天然的导电介质。在使用过程中,钛合金与其他合金不可避免地会发生接触,由于合金之间存在不同的电位差,从而会构成电池。作为电位更正的钛合金通常被作为阴极被保护起来,而偶接合金则会被快速地腐蚀。当电位差大于0.25 V时则会发生严重的电偶腐蚀[62]。当钛合金表面存在微小缺陷时,缺陷因为电位低而成为阳极,并且缺陷面积很小,因而腐蚀电流会高度集中,腐蚀因而快速向内发展而形成腐蚀孔。另外,钝化膜表面为阴极,因此会纵向往内部腐蚀[45,63-65]。
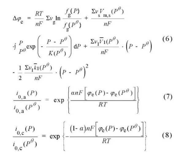
深海高静水压力会对Cl-,氧元素等环境因子产生影响,同样,深海高静水压力亦影响平衡电极电位,从而影响金属的腐蚀速率。在忽略材料的体积模量、离子的偏摩尔压缩性等条件影响,只考虑应力的作用下,得到如下式(6~8)[21]。通过公式,便可得到静水压力改变对平衡电极电位影响的数值。根据文献[21]的方法计算结果得到下图7。静水压力的增大,对析氢、吸氧反应的平衡电极电位影响较大,静水压力使析氢反应的平衡电极电位降低,使吸氧反应的平衡电极电位升高。相较于空气加压环境条件,溶解氧条件下吸氧反应的平衡电极电位变化幅度较小。这是因为压缩后的空气不仅能够增大溶解氧的活度,还能增大氧的溶解度,并且溶解度变化对平衡电极电位的影响大于溶解氧活度变化对平衡电极电位的影响。静水压力对电极反应交换电流密度的影响在不考虑压力对化学反应速率及传输系数的条件下,可得公式如下[21]:


式中,φe(P)和φe(Pθ)代表压力P和Pθ时的平衡电极电位,F是法拉第常数,fg(P)代表压力为P时气相的逸度,fg(Pθ)则是Pθ的逸度。Vm,s(Pθ)代表固相的摩尔体积,V1(Pθ)以及k1(Pθ)则分别代表了液相的偏摩尔体积和压缩性。I0,a是阳极的交换电流密度,i0,c则代表了阴极的交换电流密度。
据此对图7所列典型电极反应的交换电流密度进行计算,所示结果如图8。从图可知,随着静水压力的变化,对于不同反应的交换电流密度的影响也不同,对于析氢反应,其交换电流密度增大。而吸氧反应则由于平衡电极电位的增大,其交换电流密度因此减小。